코로나19로 인한 경제적 악화가 청소년의 음주 및 흡연에 미치는 영향
The Effects of Economic Deterioration Due to COVID-19 to Alcohol and Tobacco Consumption Behaviors of Adolescents in South Korea: A Nationwide Analysis
Article information
Abstract
연구배경
코로나19의 팬데믹은 전 세계적으로 건강, 문화 및 경제에 큰 영향을 미쳤다. 어린이 및 청소년에게 코로나 19는 상대적으로 임상적으로 미치는 영향이 적었으나, 경제 및 사회적인 영향은 상당한 것으로 알려져 있다. 본 연구에서는 코로나19로 인한 경제적 악화가 청소년의 음주 및 담배 소비 행태에 어떠한 영향을 미치는지에 대하여 평가하고자 한다.
방법
한국 질병관리본부에서 매년 발간하는 청소년 건강 행태 온라인 조사에서 2020년 자료 중 54,948명의 중·고등학생을 대상으로 시행한 설문 조사를 이용하여 음주, 흡연 및 간접흡연 여부를 조사하였다.
결과
전체 피험자는 남학생 28,353명, 여학생 26,595명으로 총 54,948명이었다. 경제적 악화가 심한 집단이 그렇지 않은 집단보다 남학생과 여학생의 음주율이 더 높았다(odd ratio [OR], 1.355; 95% confidence interval [95% CI], 1.175-1.563; OR, 1.199, 95% CI, 0.987-1.457). 흡연율 역시 경제적 악화가 심한 집단에서 남학생과 여학생 모두 더 높았다(OR, 1.435; 95% CI, 1.180-1.745; OR, 1.809; 95% CI, 1.331-2.457). 가정에서의 간접흡연율도 남학생과 여학생 모두 경제적 악화가 심한 집단에서 더 높았다(OR, 1.397; 95% CI, 1.239-1.574; OR, 1.440; 95% CI, 1.263-1.641).
결론
코로나19로 인한 급격한 경제적 악화는 청소년의 음주, 흡연, 간접흡연율의 위험요인으로 확인된다. 코로나 19로 인한 갑작스러운 경제적 충격에 대비하여 청소년의 건강과 건강관리에 더욱 주의를 기울일 필요가 있을 것이다.
Trans Abstract
Background
Coronavirus disease 2019 (COVID-19) pandemic has greatly impacted health, culture, and the economy. Although it has had little direct effect on children and adolescents, its indirect effect on them has been significant. In this study, we aim to evaluate the alcohol and tobacco consumption behaviors of adolescents and the economic determination of their families due to COVID-19.
Methods
We collected data from the Korea Youth Risk Behavior Survey, which is an annual cross-sectional national representative survey published by the Korea Disease Control and Prevention Agency in South Korea. We considered, in particular, the survey conducted in middle and high school students in 2020.
Results
The number of subjects was 54,948 with 28,353 male students and 26,595 female students. The drinking rate was higher in male students and female students in the group with severe economic deterioration compared to the group without deterioration (odd ratio [OR], 1.355; 95% confidence interval [95% CI], 1.175-1.563; OR, 1.199; 95% CI, 0.987-1.457). The smoking rate was higher in male students and female students in the group with severe economic deterioration (OR, 1.435; 95% CI, 1.180-1.745; OR, 1.809; 95% CI, 1.331-2.457). The secondhand smoking rate at home was higher in male students and female students in the group with severe economic deterioration (OR, 1.397; 95% CI, 1.239-1.574; OR, 1.440; 95% CI, 1.263-1.641).
Conclusions
The economic deterioration due to COVID-19 is a risk factor for alcohol drinking, smoking, and secondhand smoking among adolescents. Our study results suggest the need to pay more attention to youth health management in the event of sudden economic impacts.
INTRODUCTION
The coronavirus disease 2019 (COVID-19) was first reported in December 2019 in Wuhan, China, and was later declared a pandemic. As of February 2022, the pandemic has not subsided. It has lasted over 2 years and has caused many changes in the culture and economy of several countries and regions worldwide. Of these changes, economic changes have been particularly significant and rapid and have led to many difficulties and challenges [1,2]. Consumption and economic growth have decreased, and household economy has also suffered. Store sales decreased by 4.8 trillion won compared to the previous year in accordance with a decrease in living population due to COVID-19 in South Korea [3]. Families have been the most vulnerable, and the impact on children and adolescents in their growing stages has also been significant. Youth problems due to economic changes during COVID-19 are an important research topic. A significant youth problem is that of smoking and alcohol consumption, which must be considered in youth health care. It is directly related to the burden of national medical expenses and health problems [4,5]. In particular, alcohol consumption can have potentially life-threatening consequences and lead to poor cognitive functioning [6,7]. Existing studies have reported that the more money adolescents spend, the more they drink alcohol and smoke [8-10]. According to previous study findings that economic deterioration leads to a decrease in smoking rate, it can be expected that economic deterioration caused by the COVID-19 will also lead to a decrease in smoking rate. But there is a report that adolescents who experienced material hardship or reported higher epidemic-related stress were more likely to intensify substance use in the USA [11]. This difference suggests the possibility that the economic deterioration caused by the COVID-19 will have a different effect from the general economic deterioration. Thus, we explored how economic changes due to COVID-19 have affected youth smoking and alcohol drinking behaviors via the Korea Youth Risk Behavior Survey (KYRBS).
METHODS
1. Source of data
We collected data from the KYRBS, a nationally representative survey published by the Korea Disease Controls and Prevention Agency in South Korea. It is an annual cross-sectional, anonymous, self-reported online survey targeting 400 middle and high schools nationwide, 800 sample schools, and about 60,000 middle and high school students [12]. Within each sampled school, one class is sampled from three grades, and the entire class completes the survey in the school’s computer room. We considered the survey conducted from August 3, 2020 to November 13, 2020, which was a stratified, clustered, multistage probability sampling survey in which the nation was divided into 110 strata, and each stratum was allocated a sampling quota based on the number of secondary schools and classes. One class was randomly selected for each grade level in the selected sample school. All students in the class selected as the sample class were surveyed. Children who were unable to participate in the survey by themselves, students with literacy disabilities, and students with long-term absences were excluded from the sample. Of the 57,925 subjects, 54,948 participated for a participation rate of 94.9%.
2. Variables
Alcohol drinking experience was based on the yes or no question, “Have you ever had more than one glass of alcohol?” Drinking status was based on the open-ended question, “In the last 30 days, how many days have you had more than one drink?” We classified participants into a “No” group if the answer was no, and a “Yes” group if they answered more than 1 day. Smoking experience was based on the yes or no question, “Have you ever smoked a cigarette or two before?" Smoking status based on the open-ended question, “In the last 30 days, how many days did you smoke more than one cigarette?” Again, both a “Yes” and “No” group were created based on the participants’ answers. Both electronic cigarettes and heated tobacco products appeared in questions and answers on the cigarettes form. We also included a question for secondhand smoking experience in the home, school, and in public places which was, “In the last 7 days, how many days have you inhaled the smoke that someone else smokes in your home, school indoors (classrooms, toilets, corridors, etc.), or indoors other than home or school (shops, restaurants, shopping malls, concert halls, PC rooms, karaoke rooms, etc.)?” The subjects who answered no were classified as the “No” group, and those who answered from 1 day to 7 days were classified as the “Yes” group.
We evaluated economic deterioration due to COVID-19 based on the question, “Do you think the economic status of students’ families has become more difficult than before due to COVID-19?” The possible responses included “Very much,” “Some,” “Not much,” and “Not at all.” We used the following variables from the KYRBS data. Body mass index (BMI) was calculated from the result value of putting height and weight in a self-reported. Participants were in grades 7 to 12 and generally between the ages of 13 and 18. The residential area was divided into “Large city,” “Small city,” and “Rural area.” We divided academic performance and economic status into five levels, “High,” “Upper-middle,” “Middle,” “Lower-middle,” and “Low.” We evaluated health status based on a five-point Likert scale to the question, “How do you feel about your health in general?” The possible responses included “Very good,” “Good,” “Normal,” “Bad,” and “Very bad.” We further evaluated usual stress based on a five-point Likert scale to the question, “How much stress do you usually feel?” The possible responses included “Do not feel any,” “Not much,” “Some,” “High,” and “Very high.” We also evaluated sadness and hopelessness based on a “Yes/no” response to the question, “In the past 12 months, have you felt so sad or hopeless that you stopped your daily activities for 2 weeks?”
3. Data analysis
We performed statistical analyses by considering the complex sampling design using SPSS Statistic 26.0 (IBM Corp, Armonk, NY, USA), with P<0.05 as the statistical significance level. We conducted a chi-square test to compare the general characteristics and alcohol and tobacco use behaviors between male and female students. We conducted another chi-square test to analyze alcohol and tobacco smoking behaviors due to economic deterioration during COVID-19. We further performed logistic regression analysis to analyze the odds ratio (OR) of alcohol and tobacco use behaviors. We expressed the number of subjects, fractions, and sampling error after converting the statistical analysis to a composite sample.
RESULTS
The demographic information of the 28,353 male students and 26,595 female students is shown in Table 1. Their BMI averages were 22.3 kg/m2 and 20.6 kg/m2 for male and female students, respectively. The grades were surveyed almost evenly from 7th to 12th grades. Most of the participants lived in large or small cities, and the rate of participants living in rural areas was low. In terms of academic performance, male students answered with greater deviation than female students. Family economic status was better for male students than female students. The percentages of male and female student responses to the question on economic deterioration due to COVID-19 were “Very much” 6.4% and 5.1%, “Some” 23.5% and 25.0%, and “Not at all” 70.1% and 69.9%, respectively. Regarding health status, more male students answered that they were healthy than female students. Accordingly, the usual stress level was higher in female students than in male students, and they also felt more sadness and hopelessness. The experience of drinking and current drinking status was higher for male students, whose experience of smoking and the use of cigarettes, electronic cigarettes, and heated tobacco products was also higher (Table 1).
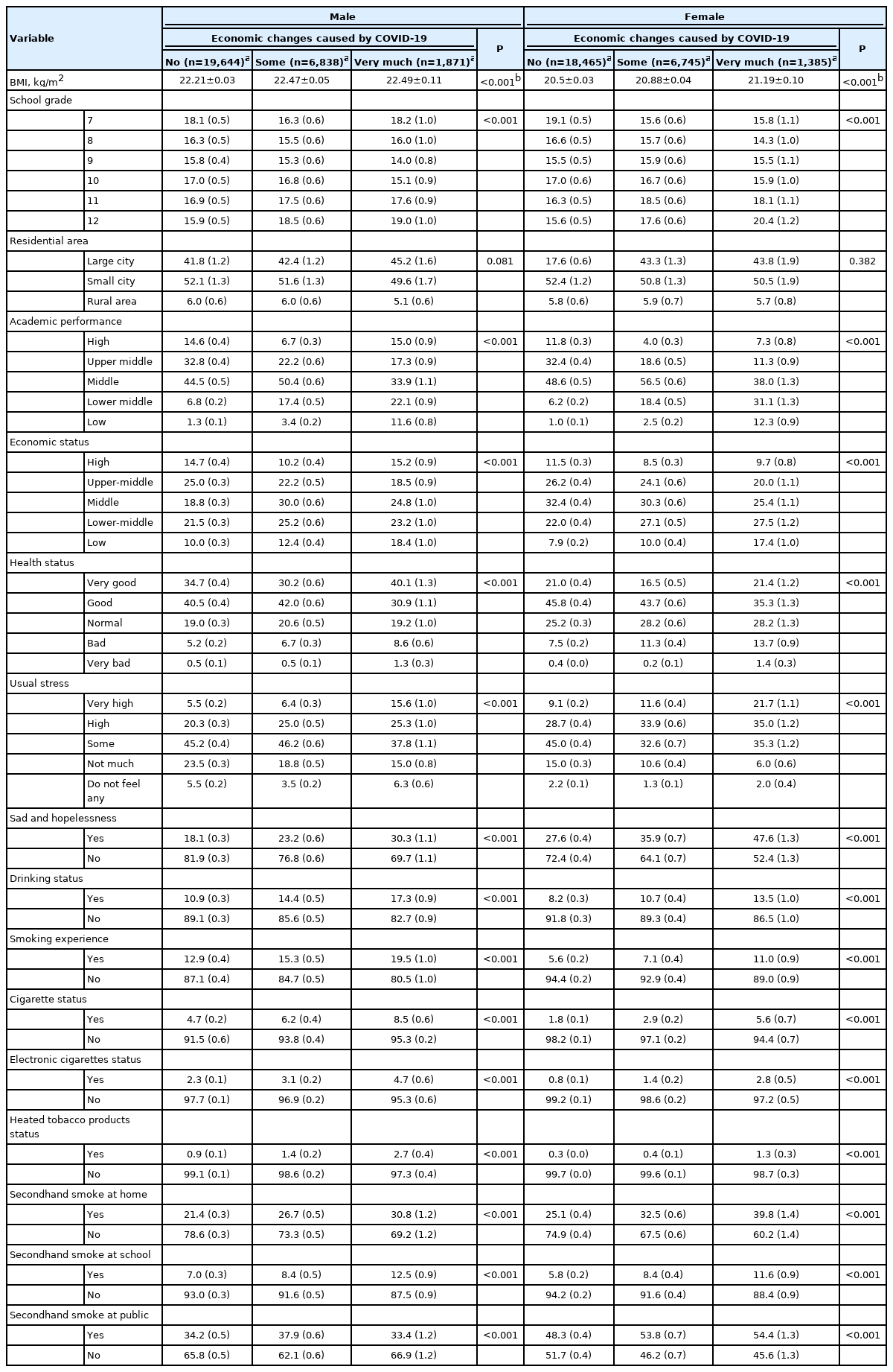
Table 2 compares the general characteristics and health behaviors of drinking and smoking among male and female students in terms of economic deterioration due to COVID-19. With increasing economic deterioration, BMI increased in both male and female students. Groups affected more by these changes, tended to have poor academic performance and economic status. Similarly, for health status and usual stress, groups that experienced greater economic deterioration tended to have poorer health conditions and experienced more stress. The rates of sadness and hopelessness increased more in female students as the economic deterioration worsened. Further, the more severe the economic deterioration, the higher the experience of drinking and current drinking rate, as well as greater smoking experience, in both male and female students. The current rate of cigarette smoking for male students was only 4.7% in the “Not at all” economic deterioration group, whereas in the “Very much” group it was 8.5%. For female students, it was 1.8% and 5.6%. The current rate of electronic cigarettes smoking in male students was 2.3% in the “Not at all” economic deterioration group and 4.7% in the “Very much” group. It was 0.8% and 2.8% for female students. The current rate of heated tobacco products smoking in male students was 0.9% in the “Not at all” economic deterioration group and 2.7% in the “Very much” group. It was 0.3% vs. 1.3% in female students. Secondhand smoking was higher among female students at home and in public places, whereas it was higher among male students in school. The more severe the economic deterioration, the higher the secondhand smoking at home and in school for both male and female students. However, there was little relationship between economic d eterioration and secondhand smoking in public places for male students (Table 2).
Demographic characteristics and drinking and smoking behaviors response to economic deterioration caused by COVID-19
We conducted logistic regression analysis after adjusting for BMI, grade, academic performance, economic status, health condition, usual stress, and sadness and hopelessness on the relationship between adolescents' drinking and smoking behaviors and economic deterioration due to COVID-19. In male students, the alcohol drinking experience OR increased to 1.113 (95% confidence interval [95% CI], 1.042-)1.189) and 1.146 (95% CI, 1.020-1.288). Alcohol drinking status OR increased to 1.260 (95% CI, 1.149-1.382) and 1.355 (95% CI, 1.175-1.563), respectively, with increasing economic deterioration. The smoking experience OR increased to 1.108 (95% CI, 1.018-1.206) and 1.328 (95% CI, 1.150-1.533). The smoking status of all tobacco types increased to 1.521 (95% CI, 1.193-1.938), with heated tobacco products smoking status OR increasing to 2.040 (95% CI, 1.470-2.832). The OR for secondhand smoking at home and school increased, but not in public places. In female students, the alcohol drinking experience OR increased to 1.103 (95% CI, 1.027-1.184) and 1.181 (95% CI, 1.044-1.184). Alcohol drinking status OR increased to 1.187 (95% CI, 1.075-1.311) and 1.199 (95% CI, 0.987-1.457), respectively, with increasing economic deteriorations. The smoking experience OR increased to 1.082 (95% CI, 0.962-1.218) and 1.299 (95% CI, 1.055-1.600). The smoking status of all tobacco types increased; heated tobacco products smoking status OR increased to 1.559 (95% CI, 1.041-2.335) and 2.289 (95% CI, 1.302-4.027). The OR for secondhand smoking at home, school, and public places increased, but it was not linear in public places (Table 3).
DISCUSSION
Our cross-sectional study examined the economic impact of COVID-19 on adolescent smoking and smoking status using nationwide data. The results demonstrated that the economic impact of COVID-19 was associated with an increase in adolescent smoking rates, regardless of the type of cigarette. This indicates that the rapid economic change due to COVID-19 has adversely affected youth health problems. The results further indicated that the rapid economic impact of COVID-19 is associated with increased depression, stress, and deterioration of subjective health status. The worldwide increase in depression due to COVID-19 has been demonstrated in other studies [13-15]. Since depression is a major risk factor for smoking behavior, it can be said that the increase in depression led to smoking behavior. However, in the logistic regression analysis, the economic damage due to COVID-19 remained statistically significant as an independent risk factor for the smoking rate even after this factor was adjusted. Based on this result, the economic damage due to COVID-19 is presumed to be an independent risk factor for smoking behavior in adolescents.
In this study, the change of variables was found to be similar in males and females. Spearman’s rank correlation analysis was performed to find out if there was a difference in economic deterioration according to gender, and the correlation coefficient was 0.006, indicating no significant association.
Our study results demonstrated an increase in secondhand smoking. This indicates that the economic deterioration due to COVID-19 adversely affected adolescents’ surrounding environment. Secondhand smoking is widely known to negatively impact the physical and mental health of adolescents [16-20]. It is linked to various cancers as well as depression and attention-deficit hyperactivity disorder. Remarkably, the deterioration of adolescent health behavior and the surrounding environment can have a national economic impact in the future, as demonstrated in already published studies [21,22].
Our study results linked economic deterioration due to COVID-19 to an increased adolescent drinking rate. Along with smoking, drinking is a factor that adversely affects the physical and mental health of adolescents and is known to increase the risk of illicit drug use [23,24]. Both smoking and drinking have a synergistic effect on the occurrence of cancer and acute and chronic diseases [25-27]. Although it is common for drinking and smoking rates to increase or decrease concurrently, an increase in these aggravating factors is an important factor to be considered in adolescent health care. Therefore, changes in drinking and smoking rates should be carefully observed in adolescents affected by the rapid economic changes due to COVID-19.
Contrary to our study, several other studies have shown that a lower economic level is associated with a lower rate of smoking behavior. There are reports that the more extra income you have, the higher the smoking rate [8,10]. In Brazil, there are reports of a decrease in smoking rates after several years of economic crisis [9]. Considering that the economic changes due to the pandemic were rapid, this difference may be due to the difference in the speed of economic changes. Alternatively, it may be the result of a combination of factors other than economic status, such as restrictions on physical and social activities. However, further research is required to confirm this hypothesis.
According to KYRBS, the total smoking rate among adolescents appears to have decreased in 2020 (when the coronavirus outbreak occurred) compared to 2019. Given that the overall smoking rate has decreased but a group that has suffered economic damage has seen an increase in smoking rate, it is possible that this is a result of severe stress, and additional research is needed to address this phenomenon.
This study is limited in that it is a cross-sectional study, due to which we could not clearly establish a causal relationship. Additional observational studies are required to support the results of this study. Further, since this study is limited to South Korea, its application will also be limited in countries with different cultural or economic statuses.
In conclusion, we found that the economic deterioration due to COVID-19 is a risk factor for alcohol drinking, smoking, and secondhand smoking rates in adolescents. In this regard, it is necessary to pay more attention to youth health and health management in the event of sudden economic impacts.
